5. PROVENANCE OF THE UPPER ALLOCHTHON
98
analyses are not clustered but they are arranged in a linear trend, which
is slightly lower than the average continental crustal evolution trend of
176
Lu/
177
Hf = 0.0113 used to calculate TDMs in this study. These linear-
ly arranged analyses (vs. cluster superchondritic arrange) point to an
Archean crust formation event at c. 3.1 Ga, where its materials
underwent subsequent crustal reworking during the Late Archean.
5.3. Sm
–
Nd results
In crustal evolution models based on Nd isotopic compositions, the
main fractionation event during the formation and evolution of conti-
nental crust takes place during partial melting of lithospheric mantle
to generate the source of crustal rocks (
McLennan and Hemming,
1992
). The
ε
Nd model age of a sedimentary rock represents the average
age of the extraction of its components from the mantle. In the case of
detrital rocks, model ages usually re
fl
ect complex mixtures based on
the different age and provenance of their components. The combined
interpretation of Nd model ages and detrital zircon ages has proven to
be a powerful tool for investigating the evolution of continental crust,
especially in orogenic belts (e.g.,
Linnemann et al., 2004
).
Whole rock Sm
–
Nd analyses were performed on 10 Cariño Gneiss
samples. Results (
Table 1
) have been plotted in
Fig. 9
. Present day Nd
epsilon values (
ε
Nd
t = 0Ma
) vary from
−
16.0 to
−
11.4 and
ε
Nd for
the time of sedimentation (
ε
Nd
t = 510Ma
) varies from
−
10.2 to
−
6.3.
Depleted mantle model ages (TDM) range between 1.82 and 1.58 Ga,
with an average of 1.73 Ga.
Results were plotted together with Sm
–
Nd data for the uppermost
siliciclastic series of the Upper Allochthon of the Órdenes Complex
(
Fuenlabrada et al., 2010
) to establish similarities between detrital
units belonging to this terrane (
Fig. 9
). These low-grade
metagreywackes have a Nd TDM average of c. 1 Ga (n = 20) and the
Cariño Gneisses an older mean of c. 1.73 Ga (n = 10). This isotopic dif-
ference between sedimentary rock series included in the Upper
Allochthon and with similar maximum depositional ages is interpreted
to re
fl
ect changes in the setting of individual series in relation to the
peri-Gondwanan arc system. The Cariño Gneisses have a higher input
of detritus with older isotopic signatures and therefore it is assumed
that this series was deposited closer to the mainland than the top
greywacke series of the Órdenes Complex. This last series would have
been deposited closer to the most active part of the magmatic arc that
shed juvenile detritus into the basin.
6. Provenance of the Upper Allochthon involved in the
Variscan suture
According to the data presented in this contribution the maximum
depositional age is c. 510 Ma, so its protolith was a Middle Cambrian or
younger sedimentary series. Concordia (
Fig. 3
) and PDP-KDE (
Fig. 4
)
plots reveal two main age populations, with pronounced age peaks at
c. 525 Ma (Paleozoic
–
Neoproterozoic population: 36%) and c. 2.09 Ga
(Paleoproterozoic population: 46.8%;
Fig. 6
). Archean populations
compromise around 13.6% of the total Cariño Gneiss zircons and
Mesoproterozoic zircons are scarce with only a 3.6%.
The main Archean U
–
Pb zircon population in the Cariño Gneisses is
bracketed at 2.7
–
2.5 Ga (
Fig. 4
). The
ε
Hf vs. age pattern for these zircons
(
Fig. 8
a) is a linear trend that points to a long lasting continental crust
reworking process of juvenile rocks formed at c. 3.3
–
2.9 Ga (maximum
at 3.1 Ga), with limited mixing processes, supporting an intracratonic or
an active margin setting. In the Northern WAC, Archean igneous rocks
have mainly been reported in the Western Reguibat Shield.
Potrel
et al. (1998)
published ages of around 3 Ga for juvenile magmatic
rocks and
Scho
fi
eld et al. (2012)
reported main intrusion events at
c. 2.9, 2.7 and 2.5 Ga in this area. Based on the above studies, the
Western part of the Reguibat Shield is a viable candidate for the prove-
nance of the Cariño Gneiss Archean zircons.
The Cariño Gneiss Paleoproterozoic fraction makes up 46.8% of the
total population (
Fig. 6
). Maximum abundance clusters at c. 2.17
–
1.98 Ga with a maximum peak at 2.09 Ga (
Fig. 4
). This Paleoproterozoic
population falls within the time span of the Eburnean orogeny (2.2
–
2.0 Ga according to
Egal et al. (2002)
, or 1.8
–
2.2 according to
Ennih
and Liégeois (2008)
). This orogenic cycle was de
fi
ned at the Southern
WAC and has been extended to all rocks of the WAC affected by
c. 2.0 Ga geological events, so the Paleoproterozoic materials of the
Cariño Gneisses are possibly derived from rocks generated or reworked
during the Eburnean orogeny. Close similarities are observed when
comparisons are made with WAC Eburnean rocks. Eburnean ages
between c. 2.1 and 2.04 Ga in igneous and sedimentary rocks have
been reported in the Eastern Reguibat Shield (
Peucat et al., 2005
) and
in the Anti-Atlas belt (
Thomas et al., 2002; Abati et al., 2012; Avigad
et al., 2012
), supporting a WAC provenance for the Paleoproterozoic
zircons in the Cariño Gneisses. The Cariño Gneiss Lu
–
Hf data (
Fig. 8
a)
for zircons of Eburnean age (c. 2.13
–
1.97 Ga) are arranged as a cluster
with positive
ε
Hf values representing juvenile rocks and few values
with negative
ε
Hf units suggesting a mixing process of juvenile and
reworked rocks, i.e. Eburnean DM derived magmas intruded in an
older basement triggering mixing processes. As the most negative
ε
Hf
value for Eburnean zircons is
−
15 and the Archean linear arrangement
intersects at c. 2 Ga at c.
ε
Hf =
−
15, this old basement could well be
represented by the Cariño Gneiss Archean zircons. All these observa-
tions are in agreement with the geodynamic setting proposed by
Egal
et al. (2002)
, where the Eburnean is an active margin orogen formed
by oceanic subduction along the edge of the pre-existing Archean cra-
ton. The input of this population in the Cariño Gneisses is much higher
than in the other samples (i.e.
Abati et al., 2012; Avigad et al., 2012
).
This is probably due to the deposition of the Cariño Gneisses closer to
the Paleoproterozoic source area, i.e. the Northern WAC.
In the Mesoproterozoic Era the WAC became a stable craton (
Ennih
and Liégeois, 2008
) which gave as a result a characteristic c. 1.7
–
1.0 Ga
“
magmaticgap
”
(
Linnemannetal.,2008
andreferencestherein). Never-
theless, in some peripheral WAC derived samples, Mesoproterozoic zir-
cons are relatively common in Ediacaran
–
Ordovician and younger
siliciclastic samples.This is the casein NW Iberia,where theprovenance
of these series is frequently assigned to a provenance from the Saharan
metacraton (i.e.
Díez Fernández et al., 2010
). However, recently a Mid-
dle Cambrian sandstone from the Anti-Atlas belt has been reported to
contain zircons with Stenian Mesoproterozoic ages from c. 1.1 to 1 Ga
(
Avigad et al., 2012
). Therefore siliciclastic series formed in the Cambri-
an close to the WAC can also contain this zircon population. In the
492
496
500
504
508
512
516
520
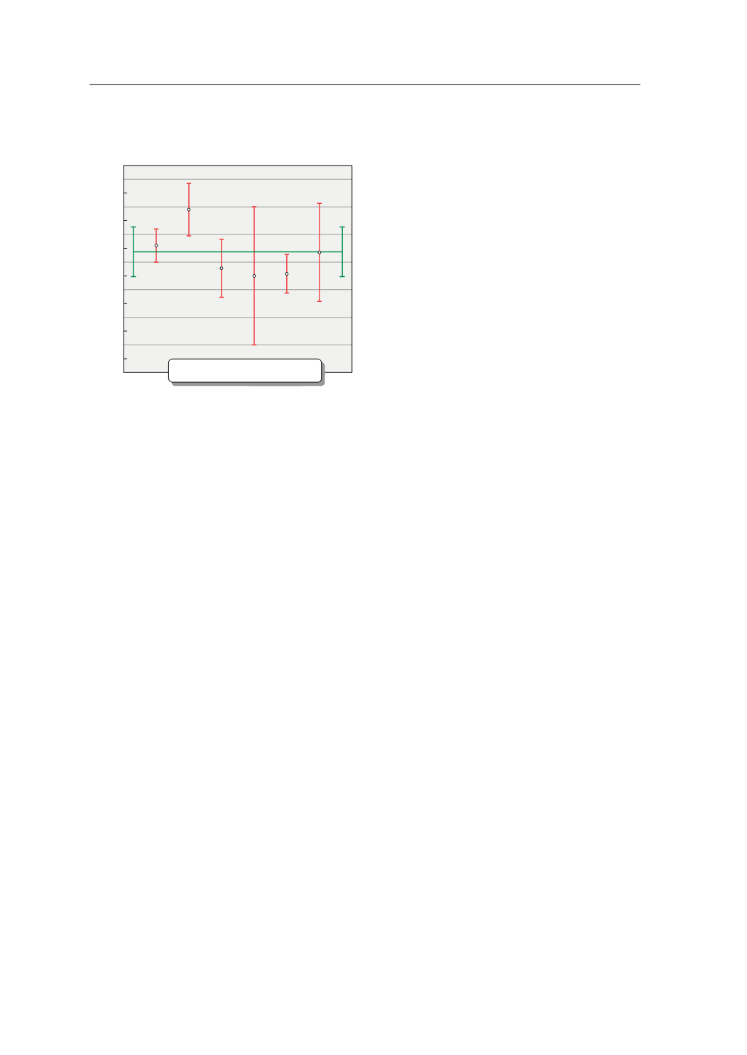
MDA
(Maximum Depositional Ages)
Mean of MDAs =
509.5±3. 6
[0.71%] 95% conf.
Wtd by data-pt errs only, MSWD = 3.6, prob = 0.003
data-point error symbols are 2δ
GCH-07
GCH-08
GCH-09
GCH-10
GCH-11
GCH-12
510.4±2.4
515.6±3.8
507.1±4.2
506±10
506.3±2.8
509.4±7.1
Fig. 7.
Maximum depositional ages for each Cariño Gneiss sample (see
Sections 4.2 and
5.1
) andtheweightedaverageofallsamples, whichgives ac.510MaMDAfortheCariño
Gneiss formation.
1443
R. Albert et al. / Gondwana Research 28 (2015) 1434
–
1448




